第 1 頁 (共 1 頁)
【對數】
發表於 : 2018年 8月 3日, 12:39
由 huanghs

- 擷取.JPG (11.66 KiB) 已瀏覽 29372 次
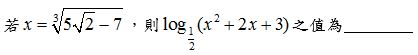
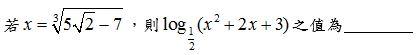
請問這題要怎麼做呢?
Re: 【對數】
發表於 : 2018年 8月 3日, 16:52
由 thepiano
x = √2 - 1
Re: 【對數】
發表於 : 2018年 8月 3日, 17:40
由 huanghs
Re: 【對數】
發表於 : 2018年 8月 4日, 09:22
由 thepiano
真數 x^2 + 2x + 3 = (x + 1)^2 + 2,加上底數是 1/2,就會猜 x = √2 - 1 了
不然,令 (a + b√2)^3 = -7 + 5√2
(a - b√2)^3 = -7 - 5√2
也可解出 a 和 b
Re: 【對數】
發表於 : 2018年 8月 4日, 09:56
由 huanghs
thepiano 寫: ↑2018年 8月 4日, 09:22
真數 x^2 + 2x + 3 = (x + 1)^2 + 2,加上底數是 1/2,就會猜 x = √2 - 1 了
不然,令 (a + b√2)^3 = -7 + 5√2
(a - b√2)^3 = -7 - 5√2
也可解出 a 和 b
謝謝鋼琴老師,我大概知道要怎麼做了!!